某公司甲、乙两个营业部共有50人,其中32人为男性。已知甲营业部的男女比例为5 : 3,乙营业部的男女比例为2:1,问甲营业部有多少名女职员?( )A...

作者: rantiku 人气: - 评论: 0
问题 某公司甲、乙两个营业部共有50人,其中32人为男性。已知甲营业部的男女比例为5 : 3,乙营业部的男女比例为2:1,问甲营业部有多少名女职员?( ) A. 18 B. 16 C. 12 D. 9
选项
答案 C
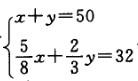
解析 设甲、乙营业部分别有x,y人,则有,解得x = 32,则甲营业部的女职员有3/8X32 = 12(人),故C为正确选项。

猜你喜欢

发表评论
更多 网友评论0 条评论)
暂无评论

访问排行

Copyright © 2012-2014 恰考网 Inc. 保留所有权利。 Powered by tikuer.com

页面耗时0.0390秒, 内存占用1.03 MB, Cache:redis,访问数据库17次