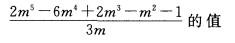
如果m是方程x2 + 1 — 3x=0的一个根,那么分式 是( )。A.﹣1 B.1 C.0 D.1/3

作者: rantiku 人气: - 评论: 0
问题 如果m是方程x2 + 1 — 3x=0的一个根,那么分式 是( )。 A.﹣1 B.1 C.0 D.1/3
选项
答案 A
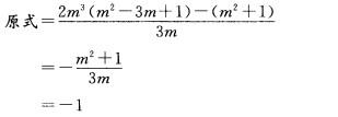
解析 由m是方程X2+1 —3x=0的一个根可知,m2+1 —3m=0,即m2+1= 3m。 所以,本题正确答案为A。

猜你喜欢

发表评论
更多 网友评论0 条评论)
暂无评论

访问排行

Copyright © 2012-2014 恰考网 Inc. 保留所有权利。 Powered by tikuer.com

页面耗时0.0645秒, 内存占用1.03 MB, Cache:redis,访问数据库19次