若事件A、B互不相容,且P(A)=p,P(B)=q,则等于:A. 1-p B. 1-q C. 1-(p+q) D.1+p+q

作者: rantiku 人气: - 评论: 0
问题 若事件A、B互不相容,且P(A)=p,P(B)=q,则等于:
选项 A. 1-p B. 1-q C. 1-(p+q) D.1+p+q
答案 C
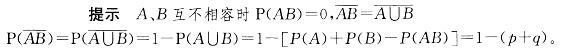
解析

猜你喜欢

发表评论
更多 网友评论0 条评论)
暂无评论

Copyright © 2012-2014 恰考网 Inc. 保留所有权利。 Powered by tikuer.com

页面耗时0.0428秒, 内存占用1.03 MB, Cache:redis,访问数据库20次