A. -2 B. -1 C. 1 D. 2

作者: rantiku 人气: - 评论: 0
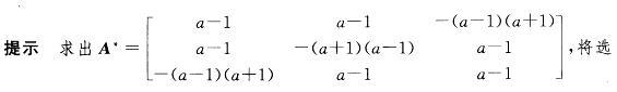
问题
选项 A. -2 B. -1 C. 1 D. 2
答案 A
解析 项A、B、C、D值分别代入,当a=-2代入时,R(A*) = 1。

猜你喜欢

发表评论
更多 网友评论0 条评论)
暂无评论

Copyright © 2012-2014 恰考网 Inc. 保留所有权利。 Powered by tikuer.com

页面耗时0.0770秒, 内存占用1.01 MB, Cache:redis,访问数据库20次