设周期信号 则:A. u1(t)较u2(t)更接近u(t) B. u2(t)较u1(t)更接近u(t) C. u1(t)与u2(t)接近u(...

作者: rantiku 人气: - 评论: 0
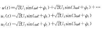
问题 设周期信号 则:
选项 A. u1(t)较u2(t)更接近u(t) B. u2(t)较u1(t)更接近u(t) C. u1(t)与u2(t)接近u(t)的程度相同 D.无法做出三个电压之间的比较
答案 A
解析 提示 题中给出非正弦周期信号的傅里叶级数展开式。虽然信号中各次谐波的幅值通常 是随着频率的增加而减少的,但是u(t)较u1(t)和u2(t)所包含的谐波次数更多,包含的信息就更加完整。

猜你喜欢

发表评论
更多 网友评论0 条评论)
暂无评论

Copyright © 2012-2014 恰考网 Inc. 保留所有权利。 Powered by tikuer.com

页面耗时0.0369秒, 内存占用1.03 MB, Cache:redis,访问数据库20次