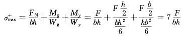
图示矩形截面杆AB,A端固定,B 端自由。B端右下角处承受与轴线平行的集中力F,杆的最大正应力是:

作者: rantiku 人气: - 评论: 0
问题 图示矩形截面杆AB,
选项 A端固定,B 端自由。B端右下角处承受与轴线平行的集中力F,杆的最大正应力是:
答案 C
解析 提示 图示杆是偏心拉伸,等价于轴向拉伸和两个方向弯曲的组合变形。

猜你喜欢

发表评论
更多 网友评论0 条评论)
暂无评论

Copyright © 2012-2014 恰考网 Inc. 保留所有权利。 Powered by tikuer.com

页面耗时0.0421秒, 内存占用1.03 MB, Cache:redis,访问数据库17次