在双缝干涉实验中,光的波长600nm,双缝间距2mm,双缝与屏的间距为300cm,则屏上形成的干涉图样的相邻明条纹间距为:A.0.45mm B.0.9...

作者: rantiku 人气: - 评论: 0
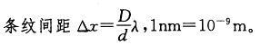
问题 在双缝干涉实验中,光的波长600nm,双缝间距2mm,双缝与屏的间距为300cm,则屏上形成的干涉图样的相邻明条纹间距为:
选项 A.0.45mm B.0.9mm C.9mm D.4.5mm
答案 B
解析

猜你喜欢

发表评论
更多 网友评论0 条评论)
暂无评论

Copyright © 2012-2014 恰考网 Inc. 保留所有权利。 Powered by tikuer.com

页面耗时0.0327秒, 内存占用1.03 MB, Cache:redis,访问数据库19次