设a(x) = 1-cosx,β(x) = 2x2,则当x→0时,下列结论中正确的是:A.a(x)与β(x)是等价无穷小 B.a(x)是β(x)的高阶...

作者: rantiku 人气: - 评论: 0
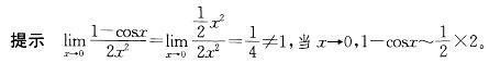
问题 设a(x) = 1-cosx,β(x) = 2x2,则当x→0时,下列结论中正确的是:
选项 A.a(x)与β(x)是等价无穷小 B.a(x)是β(x)的高阶无穷小 C.a(x)是β(x)的低阶无穷小 D.a(x)与β(x)是同阶无穷小但不是等价无穷小
答案 D
解析

猜你喜欢

发表评论
更多 网友评论0 条评论)
暂无评论

Copyright © 2012-2014 恰考网 Inc. 保留所有权利。 Powered by tikuer.com

页面耗时0.0352秒, 内存占用1.01 MB, Cache:redis,访问数据库19次