已知f(x)为连续的偶函数,则f(x)的原函数中:A.有奇函数 B.都是奇函数 C.都是偶函数 D.没有奇函数也没有偶函数

作者: rantiku 人气: - 评论: 0
问题 已知f(x)为连续的偶函数,则f(x)的原函数中:
选项 A.有奇函数 B.都是奇函数 C.都是偶函数 D.没有奇函数也没有偶函数
答案 A
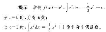
解析

猜你喜欢

发表评论
更多 网友评论0 条评论)
暂无评论

Copyright © 2012-2014 恰考网 Inc. 保留所有权利。 Powered by tikuer.com

页面耗时0.0370秒, 内存占用1.01 MB, Cache:redis,访问数据库20次