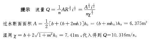
有一条长直的棱柱形渠道,梯形断面,底宽b=2.0m,边坡系数m=1.5,糙率n=0. 025,底坡=0.002,设计水深h0=1.5m,试求通过流量?A....

作者: rantiku 人气: - 评论: 0
问题 有一条长直的棱柱形渠道,梯形断面,底宽b=2.0m,边坡系数m=1.5,糙率n=0. 025,底坡=0.002,设计水深h0=1.5m,试求通过流量?
选项 A. 16. 4m3/s B. 10. 31m3/s C. 18.00 m3/s D. 20.10 m3/s
答案 B
解析

猜你喜欢

发表评论
更多 网友评论0 条评论)
暂无评论

访问排行

Copyright © 2012-2014 恰考网 Inc. 保留所有权利。 Powered by tikuer.com

页面耗时0.0309秒, 内存占用1.03 MB, Cache:redis,访问数据库20次