经几次监测,某地表水的CODCr值变化较大,分别为15. 5mg/L、17. 6mg/L、14. 2mg/L、16. 7mg/L,为了使评价因子能够突出高...

作者: rantiku 人气: - 评论: 0
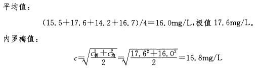
问题 经几次监测,某地表水的CODCr值变化较大,分别为15. 5mg/L、17. 6mg/L、14. 2mg/L、16. 7mg/L,为了使评价因子能够突出高值的影响,则评价值应确定为:
选项 A. 16. 0mg/L B. 17. 6mg/L C. 16. 8mg/L D. 17. 2mg/L
答案 C
解析 提示 内梅罗指数是在平均值的基础上突出最大值的影响,用内梅罗法计算:

猜你喜欢

发表评论
更多 网友评论0 条评论)
暂无评论

访问排行

Copyright © 2012-2014 恰考网 Inc. 保留所有权利。 Powered by tikuer.com

页面耗时0.0376秒, 内存占用1.03 MB, Cache:redis,访问数据库18次