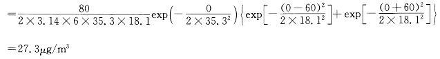
某污染源排放SO2的量为80g/s,有效源高为60m,烟囱出口处平均风速为6m/s。在当时的气象条件下,正下风方向500m处的σy= 35.3m,σz= ...

作者: rantiku 人气: - 评论: 0
问题 某污染源排放SO2的量为80g/s,有效源高为60m,烟囱出口处平均风速为6m/s。在当时的气象条件下,正下风方向500m处的σy= 35.3m,σz= 18.1m,该处的地面浓度是多少?
选项 A. 27. 300ug/m3 B. 13. 700ug/m3 C. 0.112ug/m3 D. 6. 650ug/m3
答案 A
解析

猜你喜欢

发表评论
更多 网友评论0 条评论)
暂无评论

访问排行

Copyright © 2012-2014 恰考网 Inc. 保留所有权利。 Powered by tikuer.com

页面耗时0.0741秒, 内存占用1.03 MB, Cache:redis,访问数据库14次