若在对数期50min时测得大肠杆菌数为1.0X 104cfu/mL,培养450min时大肠杆菌数为1. 0X1011cfu/mL,则该菌的细胞生长繁殖速率...

作者: rantiku 人气: - 评论: 0
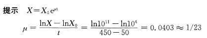
问题 若在对数期50min时测得大肠杆菌数为1.0X 104cfu/mL,培养450min时大肠杆菌数为1. 0X1011cfu/mL,则该菌的细胞生长繁殖速率为多少?
选项 A. 1/17 B. 1/19 C. 1/21 D. 1/23
答案 D
解析

猜你喜欢

发表评论
更多 网友评论0 条评论)
暂无评论

访问排行

Copyright © 2012-2014 恰考网 Inc. 保留所有权利。 Powered by tikuer.com

页面耗时0.0793秒, 内存占用1.03 MB, Cache:redis,访问数据库18次