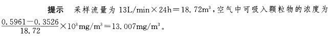
采用重量法测定空气中可吸入颗粒物的浓度。采样时现场气温为18C,大气压力为98. 2kPa,采样流速为13L/min,连续采样24h。若采样前滤膜质量为0...

作者: rantiku 人气: - 评论: 0
问题 采用重量法测定空气中可吸入颗粒物的浓度。采样时现场气温为18C,大气压力为98. 2kPa,采样流速为13L/min,连续采样24h。若采样前滤膜质量为0.3526g,采样后滤膜质量为0.5961g,试计算空气中可吸入颗粒物的浓度:
选项 A. 13. 00mg/m3 B. 13. 51mg/m3 C. 14. 30mg/m3 D. 15. 50mg/m3
答案 A
解析
发表评论
更多 网友评论0 条评论)
暂无评论

访问排行

Copyright © 2012-2014 恰考网 Inc. 保留所有权利。 Powered by tikuer.com

页面耗时0.0351秒, 内存占用1.03 MB, Cache:redis,访问数据库20次