某城市居住、商业、工业混杂区,在昼间测得距离道路中心10m处的交通噪声值为65dB,为使昼间噪声达标,沿路第一排商铺至少应距离道路中心:A. 17. 8m...

作者: rantiku 人气: - 评论: 0
问题 某城市居住、商业、工业混杂区,在昼间测得距离道路中心10m处的交通噪声值为65dB,为使昼间噪声达标,沿路第一排商铺至少应距离道路中心:
选项 A. 17. 8m B. 7. 8m C. 31. 6m D. 21. 6m
答案 C
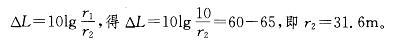
解析 提示 城市居住、商业、工业混杂区昼间噪声标准为60dB。由线声源衰减公式

猜你喜欢

发表评论
更多 网友评论0 条评论)
暂无评论

访问排行

Copyright © 2012-2014 恰考网 Inc. 保留所有权利。 Powered by tikuer.com

页面耗时0.0278秒, 内存占用1.03 MB, Cache:redis,访问数据库19次