某工厂车间内有12台机器,有10台机器的声压级都为60dB,其余两台机器的声压分别为70dB、73dB,叠加后的总声压级为:A. 61. 9d B. ...

作者: rantiku 人气: - 评论: 0
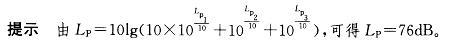
问题 某工厂车间内有12台机器,有10台机器的声压级都为60dB,其余两台机器的声压分别为70dB、73dB,叠加后的总声压级为:
选项 A. 61. 9d B. 76d C. 79d D. 74. 3d
答案 B
解析

猜你喜欢

发表评论
更多 网友评论0 条评论)
暂无评论

访问排行

Copyright © 2012-2014 恰考网 Inc. 保留所有权利。 Powered by tikuer.com

页面耗时0.0381秒, 内存占用1.03 MB, Cache:redis,访问数据库20次