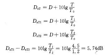
某车间进行吸声降噪处理前后的平均混响时间分别为4.5s和1.2s。请问该车间噪声级平均降低了多少?A.3.9d B.5.7d C.7.3d D...

作者: rantiku 人气: - 评论: 0
问题 某车间进行吸声降噪处理前后的平均混响时间分别为4.5s和1.2s。请问该车间噪声级平均降低了多少?
选项 A.3.9d B.5.7d C.7.3d D.12.2d
答案 B
解析 提示 相应于接受室内某一混响时间基准值的标准声压级差,按下式计算:

猜你喜欢

发表评论
更多 网友评论0 条评论)
暂无评论

访问排行

Copyright © 2012-2014 恰考网 Inc. 保留所有权利。 Powered by tikuer.com

页面耗时0.0376秒, 内存占用1.03 MB, Cache:redis,访问数据库19次