某电除尘器实测除尘效率为90%,现欲使其除尘效率提高至99%,集尘板面积应增加到原来的:A.5倍 B.4倍 C.3倍 D.2倍

作者: rantiku 人气: - 评论: 0
问题 某电除尘器实测除尘效率为90%,现欲使其除尘效率提高至99%,集尘板面积应增加到原来的:
选项 A.5倍 B.4倍 C.3倍 D.2倍
答案 D
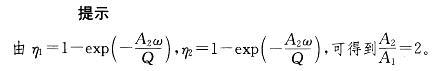
解析

猜你喜欢

发表评论
更多 网友评论0 条评论)
暂无评论

访问排行

Copyright © 2012-2014 恰考网 Inc. 保留所有权利。 Powered by tikuer.com

页面耗时0.0521秒, 内存占用1.03 MB, Cache:redis,访问数据库19次