喷口直径为400mm的圆形射流,以6m/s均匀分布的流速射出,离喷口3m处射流的质量平均流速为( )。A、2.58m/s B、3.58m/s C、...

作者: rantiku 人气: - 评论: 0
问题 喷口直径为400mm的圆形射流,以6m/s均匀分布的流速射出,离喷口3m处射流的质量平均流速为( )。
选项 A、2.58m/s B、3.58m/s C、4.58m/s D、5.58m/s
答案 A
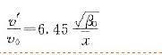
解析 圆形射流质量平均流速沿程变化:

猜你喜欢

发表评论
更多 网友评论0 条评论)
暂无评论

访问排行

Copyright © 2012-2014 恰考网 Inc. 保留所有权利。 Powered by tikuer.com

页面耗时0.0301秒, 内存占用1.03 MB, Cache:redis,访问数据库17次