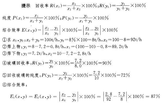
一分选设备处理废物能力100t/h,废物中玻璃含量8%,筛下物重l0t/h,其中玻璃7.2t/h,求玻璃回收率、回收玻璃纯度和综合效率。A.90%,72%...

作者: rantiku 人气: - 评论: 0
问题 一分选设备处理废物能力100t/h,废物中玻璃含量8%,筛下物重l0t/h,其中玻璃7.2t/h,求玻璃回收率、回收玻璃纯度和综合效率。
选项 A.90%,72%,87% B.90%,99%,72% C.72%,99%,87% D.72%.90%,72%
答案 A
解析

猜你喜欢

发表评论
更多 网友评论0 条评论)
暂无评论

访问排行

Copyright © 2012-2014 恰考网 Inc. 保留所有权利。 Powered by tikuer.com

页面耗时0.0458秒, 内存占用1.03 MB, Cache:redis,访问数据库19次