设a,b,c,x,y∈R,且x,y≤0,茗是a,b的等差中项,y是b,c的等差中项,若a,b,c成等比数列,那么a/x+c/y的值为( )A.1 B.2...

作者: tihaiku 人气: - 评论: 0
问题 设a,b,c,x,y∈R,且x,y≤0,茗是a,b的等差中项,y是b,c的等差中项,若a,b,c成等比数列,那么a/x+c/y的值为( )
选项 A.1 B.2 C.-3 D.4
答案 B
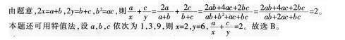
解析

猜你喜欢

发表评论
更多 网友评论0 条评论)
暂无评论

Copyright © 2012-2014 恰考网 Inc. 保留所有权利。 Powered by tikuer.com

页面耗时0.0559秒, 内存占用1.01 MB, Cache:redis,访问数据库18次