A盒装有3张大小形状完全相同的卡片,分别标有数字1,2,3;B盒也装有3张大小形状完全相同的卡片,分别标有数字2,3,4。现从A,B两个盒子中各取一张卡片...

作者: tihaiku 人气: - 评论: 0
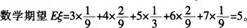
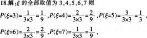
问题 A盒装有3张大小形状完全相同的卡片,分别标有数字1,2,3;B盒也装有3张大小形状完全相同的卡片,分别标有数字2,3,4。现从A,B两个盒子中各取一张卡片,对应的数字分别为a和b,记随机变量ξ=a+b,求ξ的分布列和数学期望。
选项
答案
解析 则的分布列为

相关内容:大小,形状,卡片,数字,现从,两个,盒子,中各

猜你喜欢

发表评论
更多 网友评论0 条评论)
暂无评论

Copyright © 2012-2014 恰考网 Inc. 保留所有权利。 Powered by tikuer.com

页面耗时0.0354秒, 内存占用1.05 MB, Cache:redis,访问数据库19次