如图,正方体ABCD-A1B1C1D1中,E,F,G分别为AA1,A1D1,BC的中点,则异面直线EF与D1G所成角的大小为__________。

作者: tihaiku 人气: - 评论: 0
问题 如图,正方体ABCD-A1B1C1D1中,E,F,G分别为AA1,A1D1,BC的中点,则异面直线EF与D1G所成角的大小为__________。
选项
答案
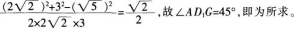
解析 连接AD1,AG,由于EF平行于AD1,则异面直线EF与D1G所成角等于AD1与D1G所成角。设正方体棱长为2,在△AD1G中,D1G=3,根据余弦定理,cos∠AD1G=

相关内容:如图,正方体,ABCD-A1B1C1D1,中点,异面,直线,大小

猜你喜欢

发表评论
更多 网友评论0 条评论)
暂无评论

Copyright © 2012-2014 恰考网 Inc. 保留所有权利。 Powered by tikuer.com

页面耗时0.0596秒, 内存占用1.03 MB, Cache:redis,访问数据库13次