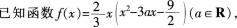
若函数f(x)的图象上点P(1,m)处的切线方程为3x-y+b=0,则m的值为__________。

作者: tihaiku 人气: - 评论: 0
问题 若函数f(x)的图象上点P(1,m)处的切线方程为3x-y+b=0,则m的值为__________。
选项
答案
解析

相关内容:函数,图象,切线,方程,3x-y+b

猜你喜欢

发表评论
更多 网友评论0 条评论)
暂无评论

Copyright © 2012-2014 恰考网 Inc. 保留所有权利。 Powered by tikuer.com

页面耗时0.0349秒, 内存占用1.04 MB, Cache:redis,访问数据库17次