曲线C1:x2+y2-2x=0与曲线C2:y(y-mx-m)=0有4个不同交点,则实数m取值( )。

作者: tihaiku 人气: - 评论: 0
问题 曲线C1:x2+y2-2x=0与曲线C2:y(y-mx-m)=0有4个不同交点,则实数m取值( )。
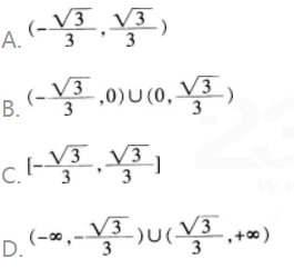
选项
答案 B
解析

猜你喜欢

发表评论
更多 网友评论0 条评论)
暂无评论

Copyright © 2012-2014 恰考网 Inc. 保留所有权利。 Powered by tikuer.com

页面耗时0.0334秒, 内存占用1.03 MB, Cache:redis,访问数据库14次