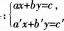
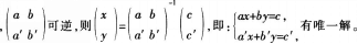
求证:非齐次线性方程组无关。

作者: tihaiku 人气: - 评论: 0
问题 求证:非齐次线性方程组无关。
选项
答案
解析 证明:(1)当非齐次线性方程组 有唯一解时,假设向量m=(a,a’),n(6,6’)线性相关,则n=km, (2)当向量m=(a,a’),n(b,b )线性无关时

猜你喜欢

发表评论
更多 网友评论0 条评论)
暂无评论

Copyright © 2012-2014 恰考网 Inc. 保留所有权利。 Powered by tikuer.com

页面耗时0.0297秒, 内存占用1.03 MB, Cache:redis,访问数据库19次