某飞行表演大队由甲、乙两队组成。甲队中恰好有喷红色与绿色喷雾的飞机各3架。乙队中仅有3架喷红色烟雾的飞机。在一次飞行表演中,需要从甲队中任意选出3架飞机与...

作者: tihaiku 人气: - 评论: 0
问题 某飞行表演大队由甲、乙两队组成。甲队中恰好有喷红色与绿色喷雾的飞机各3架。乙队中仅有3架喷红色烟雾的飞机。在一次飞行表演中,需要从甲队中任意选出3架飞机与乙队飞机与混合编队进行表演,并任意确定一架飞机作为领飞飞机,求领飞飞机是喷绿色烟雾的概率。
选项
答案
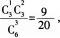
解析 分两步进行计算,先选出含有喷绿色烟雾的飞机的概率再选领飞的飞机是喷绿色烟雾的概率,最后乘起来即得。 第一步:先选出甲中含喷绿色烟雾的飞机的概率 若选出的有1架是喷绿色烟雾的飞机概率为 若选出的有2架是喷绿色烟雾的飞机概率为 若选出的有3架是喷绿色烟雾的飞机概率为 第二步: 6架中含有l架是喷绿色烟雾的飞机时,所选到领飞的飞机是喷绿色烟雾的概率为1/6 6架中含有2架是喷绿色烟雾的飞机时,所选到领飞的飞机是喷绿色烟雾的概率为1/3 6架中含有3架是喷绿色烟雾的飞机时,所选到领飞的飞机是喷绿色烟雾的概率为1/2 所以。最终所选的领队飞机是喷绿色烟雾的概率为

猜你喜欢

发表评论
更多 网友评论0 条评论)
暂无评论

Copyright © 2012-2014 恰考网 Inc. 保留所有权利。 Powered by tikuer.com

页面耗时0.0323秒, 内存占用1.03 MB, Cache:redis,访问数据库14次