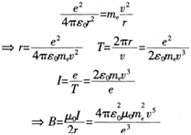
氢原子可以看成电子在平面内绕核做匀速圆周运动的带电系统。已知电子电荷为e.质量为me,圆周运动的速率为v,求圆心处磁感应强度的值B.

作者: tihaiku 人气: - 评论: 0
问题 氢原子可以看成电子在平面内绕核做匀速圆周运动的带电系统。已知电子电荷为e.质量为me,圆周运动的速率为v,求圆心处磁感应强度的值B.
选项
答案
解析 匀速圆周运动;电流;磁感应强度。 库仑力提供电子绕核运动的向心力:

相关内容:氢原子,电子,平面,内绕,核做,系统,电荷,质量,速率,圆心,磁感应,强度

猜你喜欢

发表评论
更多 网友评论0 条评论)
暂无评论

访问排行

Copyright © 2012-2014 恰考网 Inc. 保留所有权利。 Powered by tikuer.com

页面耗时0.0544秒, 内存占用1.03 MB, Cache:redis,访问数据库13次