下面是一道作业题及某学生的解答。 题目:如图所示,一个半径为R的半球形的碗固定在桌面上,碗l:/水平,0点为其球心,碗的内表面及碗口是光滑的。一根轻质细...

作者: tihaiku 人气: - 评论: 0
问题 下面是一道作业题及某学生的解答。 题目:如图所示,一个半径为R的半球形的碗固定在桌面上,碗l:/水平,0点为其球心,碗的内表面及碗口是光滑的。一根轻质细线跨在碗口上,线的两端分别系有小球A和B.当它们处于平衡状态时,小球A与0点的连线与水平线的夹角为60。 求: (1)小球A与小球B的质量比mA;MB。 (2)现将A球质量改为2m,B球质量改为m,且开始时A球位于碗口C点,由静止沿碗下滑.当 A球滑到碗底时,两球的速率为多大? 解: (1)设绳上拉力为T,碗对A球的弹力为N,根据对称性可得:N=T。由平衡条件:2Tcos30。=mAg对B球.受拉力与重力平衡得:T=mBg联立得:mA:Mb=/3:1 (2)当 A球滑到碗底时,A球下降的高度为R,B球上升的高度为/2R,根据机械能守恒定律有. ? 代入数据,解①、②两式即可求得两球的速率。 问题: (1)指出错误,分析错误的原因,给出正解。(10分) (2)给出教学思路,帮助学生掌握相关知识。(10分)
选项
答案
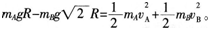
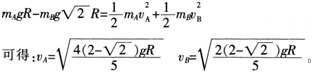
解析 (1)第一问是正确的,第二问错在A球在碗底时,VA不等于VB。。错误原因是对于运动的分解不清楚,应将VA沿绳和垂直于绳的方向分解,沿绳子方向的分速度即等于B球的速度VB。的大 根据机械能守恒定律 有 (2)师:这个题目中球A、B是通过细绳连接后跨在碗口上而构成一个系统.那么A球下降的同时B球上升,A球下降到碗底时的速度方向是什么 生:水平向左。 师:对,小球A做曲线运动时的速度方向沿曲线的切线方向。那B球在上升过程中的速度方向是什么 生:竖直向上,所以球A的速度和B的速度不相等。 师:同学们, B球的速度和哪个方向上的速度大小一致呢 生:和沿绳方向上的速度大小一致. 师:此时,我们要考虑运动的分解,小球A的速度和沿绳方向上的速度有什么关系呢 生:可以将A的速度沿绳和垂直于绳的方向分解。 师:对于绳子连接问题一般按这两个方向分解。那看一下A、B球的速度大小之间的关系是什么呢 师:所以求两个小球的速度转化成求解一个小球的速度了。那么这个系统机械能守恒吗 生:机械能守恒,除重力以外其他力没有做功。 师:既然机械能守恒,可以列出什么式子呢 生: 师:很好,这样就可以求出速度的大小了。对于这类题目,只有思路清晰才能正确解出各物理量。

相关内容:下面,一道,作业,某学,解答,题目,如图,半径,半球,面上,水平,球心,表面,碗口,一根

猜你喜欢

发表评论
更多 网友评论0 条评论)
暂无评论

访问排行

Copyright © 2012-2014 恰考网 Inc. 保留所有权利。 Powered by tikuer.com

页面耗时0.0356秒, 内存占用1.05 MB, Cache:redis,访问数据库18次