一质量为m的小球,从高出水面h处的A点自由落下,如图6所示。已知小球在水中受到的黏滞阻力与小球的运动速率v成正比(比例系数为k)。设小球在水中的浮力忽略不...

作者: tihaiku 人气: - 评论: 0
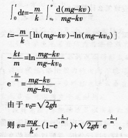
问题 一质量为m的小球,从高出水面h处的A点自由落下,如图6所示。已知小球在水中受到的黏滞阻力与小球的运动速率v成正比(比例系数为k)。设小球在水中的浮力忽略不计,以小球恰好垂直落入水中时为计时起点(t=O)。求小球在水中的运动速率v与时间t的关系:
选项
答案
解析 设小球从高出水面h处落入水中的速度为”v0” 对两边进行积分

相关内容:质量,小球,水面,处的,如图,6所示,水中,黏滞,阻力,运动,速率,比例,系数,浮力

猜你喜欢

发表评论
更多 网友评论0 条评论)
暂无评论

访问排行

Copyright © 2012-2014 恰考网 Inc. 保留所有权利。 Powered by tikuer.com

页面耗时0.0318秒, 内存占用1.05 MB, Cache:redis,访问数据库18次