阅读案例,并回答问题。 下面为一道物理试题和某同学的解答过程。 求: (1)外力F的最大值; (2)在滑动过程中通过金属棒的电流I与时间t的关...

作者: tihaiku 人气: - 评论: 0
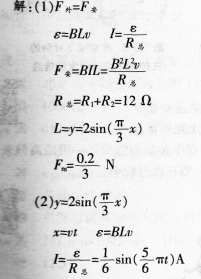
问题 阅读案例,并回答问题。 下面为一道物理试题和某同学的解答过程。 求: (1)外力F的最大值; (2)在滑动过程中通过金属棒的电流I与时间t的关系。 问题: (1)指出此道试题检测了学生所学的哪些知识点。 (2)给出正确的解题过程。 (3)针对学生解题过程存在的问题,设计一个教学片段,帮助学生解决此类问题。
选项
答案
解析 (1)本题考查法拉第电磁感应定律、欧姆定律、安培力等知识点。 (2)正确解题过程: (1)导体棒在运动过程中,速度恒定。由题意可知,当导体棒运动到A点时,导体棒产生的电动势的值最大,产生的电流最大。 (2)导体棒在磁场中运动所经过的时间t与距离坐标原点的位置关系x=vt (3)教学片段 师:同学们,通过分析题目,我们知道这是一道关于电磁感应的综合应用题。要求解外力F的最大值.我们 需要先分析金属棒的运动情况。大家看一下金属棒做什么运动 生:匀速直线运动。 师:没错。那么对金属棒受力分析,它受到了哪些力呢 生:竖直方向上,支持力和重力等大反向;水平方向上,外力F和安培力等大反向;合外力为零。 师:恩,同学们都很聪明。现在我们要求解外力F的最大值,是不是只要知道安培力的最大值就可以呢 当L最大的时候,也 就是安培力最大的时候。 师:那么现在大家想想,当金属棒运动到哪个位置,三最大呢R总又应该怎么计算呢 生:当棒运动到A时,£最大。根据串联电路电阻的关系,R总=尺。+R:。 师:大家仔细分析一下,当金属棒切割磁感线时,金属棒就相当于电源,那么两个电阻是并联还是串联关系呢大家可以画等效电路图分析一下。 生:并联。 师:很好,大家跟着老师一起来画一下。根据右手定则上面为正极,下面为负极,是不是这样的呢 师:非常棒。这道题的关键就在此。很多同学会因为算错电阻而错解。在电磁感应现象中,大家要注意等效 电源,找到等效电源之后,再根据串并联电路的特点去分析。此外解题要对题目进行分析,并配以必要的文字说明。大家知道了吗 生:知道了。 师:接下来,做错这道题的同学再重新整理一遍,其他同学预习下一节课内容。 (老师巡视,进行个性化答疑指导)

相关内容:案例,问题,一道,物理,试题,某同,解答,过程,外力,最大值,滑动,金属,电流,时间,的关

猜你喜欢

发表评论
更多 网友评论0 条评论)
暂无评论

访问排行

Copyright © 2012-2014 恰考网 Inc. 保留所有权利。 Powered by tikuer.com

页面耗时0.0334秒, 内存占用1.05 MB, Cache:redis,访问数据库18次