如图所示,一人以初速度v0竖直向上抛一个小球。若不计空气阻力.则小球在上升过程中,从抛出到其动能减少一半所经过的时间是( )。 A. B...

作者: tihaiku 人气: - 评论: 0
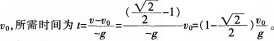
问题 如图所示,一人以初速度v0竖直向上抛一个小球。若不计空气阻力.则小球在上升过程中,从抛出到其动能减少一半所经过的时间是( )。 A. B. C. D.
选项
答案 D
解析

相关内容:如图,一人,速度,小球,空气,阻力,动能,时间

猜你喜欢

发表评论
更多 网友评论0 条评论)
暂无评论

访问排行

Copyright © 2012-2014 恰考网 Inc. 保留所有权利。 Powered by tikuer.com

页面耗时0.0416秒, 内存占用1.04 MB, Cache:redis,访问数据库18次