小李从宿舍到步行到图书馆,如果他每分钟多走12米,则可以提前2分钟到达,如果他每分钟再多走18米,则又可以提前2分钟到达,那么要使9分钟到达,小李每分钟应...

作者: tihaiku 人气: - 评论: 0
问题 小李从宿舍到步行到图书馆,如果他每分钟多走12米,则可以提前2分钟到达,如果他每分钟再多走18米,则又可以提前2分钟到达,那么要使9分钟到达,小李每分钟应走( )米。
选项 A.60 B.72 C.80 D.90
答案 C
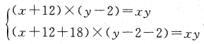
解析 设小李每分钟走2米,从宿舍到图书馆需要步行y分钟。由题意,得,解得x=60,y=12。由此可得宿舍到图书馆的距离为60×12=720(米),因此要使9分钟到达,速度应为720÷9=80(米/分钟)。本题选C。

相关内容:小李,宿舍,图书馆,多走,2分钟,9分钟

猜你喜欢

发表评论
更多 网友评论0 条评论)
暂无评论

Copyright © 2012-2014 恰考网 Inc. 保留所有权利。 Powered by tikuer.com

页面耗时0.0309秒, 内存占用1.04 MB, Cache:redis,访问数据库16次