小王去超市购物,买了A、B、C三种商品各若干件,共花费100元,其中A、B、C三种商品的单价分别是12元、8元、5元,则C商品买了( )件。A.2 B....

作者: tihaiku 人气: - 评论: 0
问题 小王去超市购物,买了A、B、C三种商品各若干件,共花费100元,其中A、B、C三种商品的单价分别是12元、8元、5元,则C商品买了( )件。
选项 A.2 B.6 C.8 D.6或8
答案 C
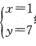
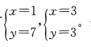
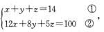
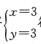
解析 设A、B、C三种商品各买了x、y、z件。由题意可得②-①×5,得7x+3y=30,满足该式的正整数解有。分别代入①②得符合题意,得z=8,而经检验不符合题意,舍去。本题选C。

相关内容:小王,超市,购物,商品,花费,100元,单价

猜你喜欢

发表评论
更多 网友评论0 条评论)
暂无评论
错误啦!

错误信息

  • 消息: [程序异常] : MISCONF Redis is configured to save RDB snapshots, but it's currently unable to persist to disk. Commands that may modify the data set are disabled, because this instance is configured to report errors during writes if RDB snapshotting fails (stop-writes-on-bgsave-error option). Please check the Redis logs for details about the RDB error.
  • 文件: /twcms/kongphp/cache/cache_redis.class.php
  • 位置: 第 85 行
    <?php echo 'KongPHP, Road to Jane.'; ?>