收获一块西红柿地,第一天收下全部的3/8,装了3筐还余12千克,第二天把剩下的全收完,正好装了6筐,这块地共收获西红柿多少千克?( ) A. 72 B....

作者: tihaiku 人气: - 评论: 0
问题 收获一块西红柿地,第一天收下全部的3/8,装了3筐还余12千克,第二天把剩下的全收完,正好装了6筐,这块地共收获西红柿多少千克?( ) A. 72 B. 144 C. 192 D. 198
选项
答案 C
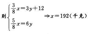
解析 设共收获西红柿x千克,每筐能装y千克,故本题选C。

相关内容:收获,一块,西红柿,12千克,地共

猜你喜欢

发表评论
更多 网友评论0 条评论)
暂无评论

Copyright © 2012-2014 恰考网 Inc. 保留所有权利。 Powered by tikuer.com

页面耗时0.0366秒, 内存占用1.05 MB, Cache:redis,访问数据库19次