有若干堆围棋子,每堆棋子数一样多,且每堆中白子占28%,小李从某一堆中拿走一半棋子,且拿走的都是黑子,现在所有棋子中,白子占32%,那么共有棋子多少堆?(...

作者: tihaiku 人气: - 评论: 0
问题 有若干堆围棋子,每堆棋子数一样多,且每堆中白子占28%,小李从某一堆中拿走一半棋子,且拿走的都是黑子,现在所有棋子中,白子占32%,那么共有棋子多少堆?( ) A. 3 B. 4 C. 5 D. 6
选项
答案 B
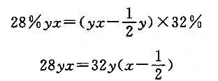
解析 设有x堆棋子,每堆中有y个棋子,根据题意列方程得: 整理得 得x=4,共4堆。

相关内容:堆围,棋子,每堆,且每堆,白子,小李,且拿,黑子,共有

猜你喜欢

发表评论
更多 网友评论0 条评论)
暂无评论

Copyright © 2012-2014 恰考网 Inc. 保留所有权利。 Powered by tikuer.com

页面耗时0.0366秒, 内存占用1.05 MB, Cache:redis,访问数据库20次