水池有3根进水管,注满水池单开甲管要10小时,单开乙管要12小时,单开丙管要15小时,上午8 点三管齐开,中间甲管发生故障,到下午2点水池被灌满,问甲管在...

作者: tihaiku 人气: - 评论: 0
问题 水池有3根进水管,注满水池单开甲管要10小时,单开乙管要12小时,单开丙管要15小时,上午8 点三管齐开,中间甲管发生故障,到下午2点水池被灌满,问甲管在何时发生故障?( ) A. 8点半 B. 9点 C. 9点半 D. 10点
选项
答案 B
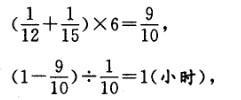
解析 需先求出乙、丙两管6小时的注水量。 所以甲管8 + 1 = 9点钟发生故障被关闭。

相关内容:水池,水管,单开甲,10小时,单开乙,12小时,单开丙,15小时,三管,齐开,甲管,故障,下午,灌满,问甲

猜你喜欢

发表评论
更多 网友评论0 条评论)
暂无评论

Copyright © 2012-2014 恰考网 Inc. 保留所有权利。 Powered by tikuer.com

页面耗时0.0454秒, 内存占用1.05 MB, Cache:redis,访问数据库20次