有一水池,开甲管12分钟注满水,开乙管8分钟放完一池水,开丙管20分钟把空池注满,如果先开甲管若干分钟,再三管齐开20分钟则把水池注满,问甲管先开了几分钟...

作者: tihaiku 人气: - 评论: 0
问题 有一水池,开甲管12分钟注满水,开乙管8分钟放完一池水,开丙管20分钟把空池注满,如果先开甲管若干分钟,再三管齐开20分钟则把水池注满,问甲管先开了几分钟?( ) A. 7 B. 8 C. 9 D. 10
选项
答案 D
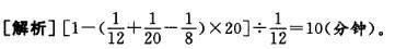
解析

相关内容:水池,开甲,12分钟,开乙,8分钟,放完,池水,开丙,20分钟,空池,先开,甲管,管齐,问甲,管先,几分钟

猜你喜欢

发表评论
更多 网友评论0 条评论)
暂无评论

Copyright © 2012-2014 恰考网 Inc. 保留所有权利。 Powered by tikuer.com

页面耗时0.0293秒, 内存占用1.05 MB, Cache:redis,访问数据库19次