某人先后两次对一3米深的长方形蓄水池进行调整,先将长增加6米,则可增加蓄水162立方米,在此基础上又将宽减少4米,此时蓄水减少了240立方米,则长方形蓄水...

作者: tihaiku 人气: - 评论: 0
问题 某人先后两次对一3米深的长方形蓄水池进行调整,先将长增加6米,则可增加蓄水162立方米,在此基础上又将宽减少4米,此时蓄水减少了240立方米,则长方形蓄水池原来的蓄水量为多少立方米?( )
选项 A.326 B.378 C.402 D.458
答案 B
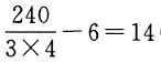
解析 第一次调整,由于宽、高不变,则增加蓄水量为宽、高和增加长度三者的乘积,可得蓄水池的宽为(米);第二次调整,由于长、高不变,故减少蓄水量为调整后长度、高和减少宽度三者的乘积,则原来长度为(米),则长方形蓄水池原来可蓄水14×9×3=378(立方米)。故本题选B。

相关内容:先后,长方形,蓄水池,调整,蓄水,162立方米,240立方米

猜你喜欢

发表评论
更多 网友评论0 条评论)
暂无评论

访问排行

Copyright © 2012-2014 恰考网 Inc. 保留所有权利。 Powered by tikuer.com

页面耗时0.0401秒, 内存占用1.04 MB, Cache:redis,访问数据库14次