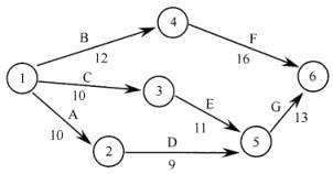
共用题干 某工程项目网络图见下图所示,该项目要求完成时间为30天,项目开始时间表示为0,预计完成时间表示为30。 活动E的最迟开始时间为()天。 A:6...

作者: tihaiku 人气: - 评论: 0
问题 共用题干 某工程项目网络图见下图所示,该项目要求完成时间为30天,项目开始时间表示为0,预计完成时间表示为30。
选项 活动E的最迟开始时间为()天。 A:6 B:10 C:17 D:21
答案 A
解析 本题考查的是最迟结束时间(LF)和最迟开始时间(LS)以及它们的相互关系。从图上可以看出,活动E的在最迟结束时间为17(17=30-13),活动E的估计工期为11,根据公式LS=LF-工期估计,可得活动E的最迟开始时间为6(6=17-11)。所以答案为A。


本题考查的是总时差(TS)的概念及计算。从图上可以看出,活动E的在最早开始时间(ES)为10,根据公式TS=最迟开始时间-最早开始时间,可得活动E的总时差为-4(-4=6-10)。所以答案为A。


本题考查的是总工期的概念及计算。求总工期的方法是找关键路线,关键路线是周期最长的那条路线或者是时差等于0或小于0的任务所构成的路线。图中共有三条线路,分别是B-F;C-E-G;A-D-G,从图上可以计算,第一条路线:B+F=12+16=28(天);第二条路线:C+E+G=10+11+13=34(天);第三条路线:A+D+G=10+9+13=32(天);通过比较三条路线可知关键路线是第二条,总工期为34天。所以答案为D。

相关内容:题干,工程项目,网络,图见,下图,项目,要求,时间,活动

猜你喜欢

发表评论
更多 网友评论0 条评论)
暂无评论

访问排行

Copyright © 2012-2014 恰考网 Inc. 保留所有权利。 Powered by tikuer.com

页面耗时0.0746秒, 内存占用1.05 MB, Cache:redis,访问数据库18次