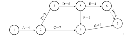
某通信项目包括A、B、C、D、E、F、G七项活动,根据各活动依赖关系及工期消耗时间(单位:天),可画出项目网络图如下: 关于该网络图的说法,...

作者: tihaiku 人气: - 评论: 0
问题 某通信项目包括A、B、C、D、E、F、G七项活动,根据各活动依赖关系及工期消耗时间(单位:天),可画出项目网络图如下: 关于该网络图的说法,正确的有()。
选项 A.节点6和节点7之间的虚线表示H任务为虚活动,不消耗资源 B.任务H的含义是指E和G都完成后,项目才能结束 C.任务G必须在E完成后、即开工第18天才能开始 D.节点1表示项目开始,节点7表示项目结束
答案 ABD
解析 任务G必须在C、F完成后才能开始。

相关内容:通信,项目,七项,活动,根据,关系,工期,消耗,时间,单位,网络,如下,说法

猜你喜欢

发表评论
更多 网友评论0 条评论)
暂无评论

访问排行

Copyright © 2012-2014 恰考网 Inc. 保留所有权利。 Powered by tikuer.com

页面耗时0.0480秒, 内存占用1.04 MB, Cache:redis,访问数据库16次