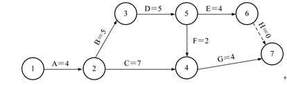
某通信项目包括A、B、C、D、E、F、G七项活动,根据各活动依赖关系及工期消耗时间(单位:天),可画出项目网络图如下: 该网络图的关键路径及...

作者: tihaiku 人气: - 评论: 0
问题 某通信项目包括A、B、C、D、E、F、G七项活动,根据各活动依赖关系及工期消耗时间(单位:天),可画出项目网络图如下: 该网络图的关键路径及长度是()。
选项 A.A-B-C-G,15天 B.A-B-D-F-G,20天 C.A-B-D-E-H,18天 D.A-B-C-D-E-F-G,31天
答案 B
解析 A-B-D-F-G,20天最长。

相关内容:通信,项目,七项,活动,根据,关系,工期,消耗,时间,单位,网络,如下,关键,路径

猜你喜欢

发表评论
更多 网友评论0 条评论)
暂无评论

访问排行

Copyright © 2012-2014 恰考网 Inc. 保留所有权利。 Powered by tikuer.com

页面耗时0.0460秒, 内存占用1.04 MB, Cache:redis,访问数据库13次