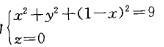
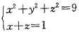
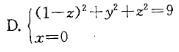
球面x2+y2+z2=9与平面x+z=1的交线在xOy坐标面上投影的方程是: A.x2+y2+ (1-x)2=9 C. (1-z) 2+y2+z2=...

作者: tihaiku 人气: - 评论: 0
问题 球面x2+y2+z2=9与平面x+z=1的交线在xOy坐标面上投影的方程是: A.x2+y2+ (1-x)2=9 C. (1-z) 2+y2+z2=9
选项
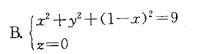
答案 B
解析 提示:通过方程组,消去z,得x2+y2+ (1-x)2=9为空间曲线在xOy平面上的投影柱面。 空间曲线在平面上的投影曲线为

猜你喜欢

发表评论
更多 网友评论0 条评论)
暂无评论

Copyright © 2012-2014 恰考网 Inc. 保留所有权利。 Powered by tikuer.com

页面耗时0.0329秒, 内存占用1.03 MB, Cache:redis,访问数据库18次