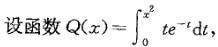
则Q'(x)等于:

作者: tihaiku 人气: - 评论: 0
问题 则Q'(x)等于:
选项
答案 C
解析 提示:求积分上限函数的导数,由于上限为x2,用复合函数求导方法计算。设u=x2,则函

相关内容:

猜你喜欢

发表评论
更多 网友评论0 条评论)
暂无评论

Copyright © 2012-2014 恰考网 Inc. 保留所有权利。 Powered by tikuer.com

页面耗时0.0301秒, 内存占用1.04 MB, Cache:redis,访问数据库18次