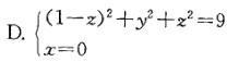
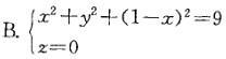
球面x2+y2+z2=9与平面x+z=1的交线在xOy坐标面上投影的方程是: A. x2+y2+(1-x)2=9 C. (1-z)2+y2+z2...

作者: tihaiku 人气: - 评论: 0
问题 球面x2+y2+z2=9与平面x+z=1的交线在xOy坐标面上投影的方程是: A. x2+y2+(1-x)2=9 C. (1-z)2+y2+z2=9
选项
答案 B
解析

相关内容:球面,x2+y2+z2,平面,交线,坐标,面上,投影,方程,x2+y2+,2+y2+z2...

猜你喜欢

发表评论
更多 网友评论0 条评论)
暂无评论

Copyright © 2012-2014 恰考网 Inc. 保留所有权利。 Powered by tikuer.com

页面耗时0.0302秒, 内存占用1.04 MB, Cache:redis,访问数据库18次