已知函数在x0处可导,则f ’(x0)的值是: A. 4 B. -4 C.-2 D. 2

作者: tihaiku 人气: - 评论: 0
问题 已知函数在x0处可导,则f ’(x0)的值是: A. 4 B. -4 C.-2 D. 2
选项
答案 C
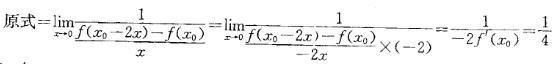
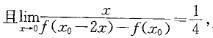
解析 提示:用导数定义计算。 故f'(x0) = -2

猜你喜欢

发表评论
更多 网友评论0 条评论)
暂无评论

Copyright © 2012-2014 恰考网 Inc. 保留所有权利。 Powered by tikuer.com

页面耗时0.0410秒, 内存占用1.04 MB, Cache:redis,访问数据库20次