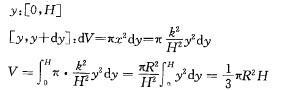
直线H/Rx(x≥0)与及y轴所围图形绕y轴旋转一周所得旋转体的体积为(H,R为任意常数):

作者: tihaiku 人气: - 评论: 0
问题 直线H/Rx(x≥0)与及y轴所围图形绕y轴旋转一周所得旋转体的体积为(H,R为任意常数):
选项
答案 A
解析 提示:画出平面图形,平面图形绕y轴旋转,旋转体的体积可通过下面方法计算。

相关内容:直线,与及,轴所,图形,所得,旋转体,体积,常数

猜你喜欢

发表评论
更多 网友评论0 条评论)
暂无评论

Copyright © 2012-2014 恰考网 Inc. 保留所有权利。 Powered by tikuer.com

页面耗时0.0320秒, 内存占用1.04 MB, Cache:redis,访问数据库19次