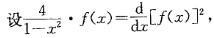
且f(0)=0,则f(x)等于:

作者: tihaiku 人气: - 评论: 0
问题 且f(0)=0,则f(x)等于:
选项
答案 C
解析 提示:计算等号右边式子,得到f'(x)表达式。计算不定积分。

相关内容:

猜你喜欢

发表评论
更多 网友评论0 条评论)
暂无评论

Copyright © 2012-2014 恰考网 Inc. 保留所有权利。 Powered by tikuer.com

页面耗时0.0412秒, 内存占用1.04 MB, Cache:redis,访问数据库18次