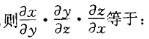
已知xy=kz(k 为正常数), A. 1 B. -1 C.k D. 1/k

作者: tihaiku 人气: - 评论: 0
问题 已知xy=kz(k 为正常数), A. 1 B. -1 C.k D. 1/k
选项
答案 B
解析 提示:xy=kz,xy-kz=0 由 F(x,y,z)=0,分别求出 Fx、Fy、Fz

相关内容:常数

猜你喜欢

发表评论
更多 网友评论0 条评论)
暂无评论

Copyright © 2012-2014 恰考网 Inc. 保留所有权利。 Powered by tikuer.com

页面耗时0.0284秒, 内存占用1.04 MB, Cache:redis,访问数据库19次