设L为连接(0,0)点与(1,1)点的抛物线y =x2 ,则对弧长的曲线积分

作者: tihaiku 人气: - 评论: 0
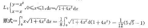
问题 设L为连接(0,0)点与(1,1)点的抛物线y =x2 ,则对弧长的曲线积分
选项
答案 A
解析 提示:利用对弧长的曲线积分方法计算。

相关内容:点与,抛物线,曲线,积分

猜你喜欢

发表评论
更多 网友评论0 条评论)
暂无评论

Copyright © 2012-2014 恰考网 Inc. 保留所有权利。 Powered by tikuer.com

页面耗时0.0718秒, 内存占用1.04 MB, Cache:redis,访问数据库20次